第六章 金戈铁马:东西方帝国与外来入侵者的斗争

最美好的归宿:东西方社会发展的衰退

“在此最完善的世界上,万物皆有归宿,此归宿自然是最完美的归宿。”在伏尔泰的经典喜剧作品《老实人》(Candied)中,导师邦葛罗斯孜孜不倦地重复着他的乐观主义哲学。在书中,邦葛罗斯先后遭遇一连串的厄运:感染梅毒,一只眼睛失明,半截耳朵溃烂,遭人囚禁奴役,被宗教裁判所施以绞刑,甚至接连遭遇两次地震。尽管如此,他仍然坚持“一切皆善”的说教。

当然,邦葛罗斯这个人物是伏尔泰跟读者开了一个小玩笑,用来讽刺当代哲学的愚昧无知,但是历史上确实曾经涌现出许多真实的“邦葛罗斯”。在公元后的前几个世纪,东西方核心都被非常富庶的强大帝国所主宰。一位中国诗人曾这样描写:“帝王出游,场面极尽奢华。欢愉无尽,绵延数万年。”对于罗马帝国,古希腊雄辩家阿里斯提得斯(Aristides)更加热情洋溢地赞叹:“为了帝国的永存,文明世界一齐祈祷。请求所有的神一起赐予这个帝国,赋予这个城市永恒的繁荣,永不消逝,直到石头漂浮在海面上,直到草木再不发芽。”

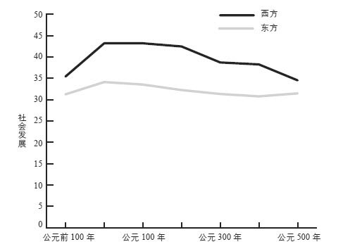
那么这些“邦葛罗斯”到底做了些什么,从而导致了图6-1中的情形?东西方的社会发展在公元前1世纪左右达到巅峰,随后不约而同地出现衰退。这种衰退与之前相比又更进一步。它不仅范围更为广泛,波及欧亚大陆两端,而且影响程度更深,持续时间更长,长达数个世纪。截至公元400年,东方社会发展的衰退程度超过了10%;截至公元500年,西方社会的发展程度倒退了20%。据统计,西方世界社会发展占据领先地位长达14000年,本章旨在向广大读者展现其末尾阶段,并探讨这次衰退的根源所在。

图6-1 一个旧世界——大规模衰退:古代帝国的巅峰时期、衰退时期以及瓦解时期(公元前100~公元500年)

秦汉和罗马帝国统治下的世界新秩序

古代帝国也不全是“邦葛罗斯”式的人。经历了数百年的战火纷飞、生灵涂炭,我在第五章中提及的“暴力的悖论”——战争最终引导和平繁荣的事实——才逐渐变得清晰起来。统一战争刚结束,秦国和罗马帝国这两个超级大国就在血腥残暴的内战中诞生。秦国很快稳定下来,并日益强大,而罗马帝国则经历了更为漫长的过程。

在征服战争中,秦朝中央集权的强制机构做出了杰出的贡献,但是在和平统治阶段,这种机构的运作结果并不理想。公元前221年,秦国消灭了最后的敌人,但是秦始皇继续在全国范围内征召男丁,这一次并不是为了打仗,而是为了派遣他们修建自己的陵寝。从某种角度来看,这些人的工作是卓有成效的,因为他们修筑了绵延数千公里的道路和运河。但从另一个角度来看,却远非如此。根据司马迁的记载,作为秦朝的第一位皇帝,秦始皇自命为“天子”,并寄希望于一些招摇撞骗之徒,靡费大量钱财寻求长生不老之药。也许就像现代人买保险那样,他花费36年时间,命令70万男丁修建帝陵。(考古学家已经在秦始皇陵挖掘出数百人的殉葬坑。)

这个占地20平方英里的中国墓葬建筑群(大部分还未被开掘)与埃及金字塔遥相呼应,不相上下。秦始皇陵是一个工作队于1974年挖掘水井时无意中发现的,现在已闻名遐迩。共有六千多尊真人大小的陶俑守卫着整个陵寝,它们是世界考古界的奇迹,然而令人惊奇的是,司马迁描述秦始皇陵时根本没有提及这些名震四方的兵马俑。司马迁将兵马俑略去,转而描述陵墓地下400码宽、周围环绕着水银仿制的秦国河流的青铜宫殿。(1981~2003年的探测调查发现,陵寝地下的土壤中含有大量水银。)司马迁还补充说,在公元前210年,秦始皇命令将他所有未生育过的嫔妃、知道陵寝秘密的匠人以及秦国数百名高级官吏一起在此陪葬。

秦始皇的暴政激起了社会各个阶层的强烈抵抗。王公贵族加以指责,秦始皇强制将其遣送回都城;知识分子站出来反抗,秦始皇活埋了460名反抗儒生;农民发动起义,他残忍地将叛乱者腰斩。[1]

由于秦始皇在国内实施恐怖统治,他刚驾崩就发生了大规模内乱。公元前209年的某天,故事拉开了帷幕:两名下级官吏必须及时将征召文件送去卫戍部队,但是由于突发暴雨,导致他们无法完成任务。而根据秦律,延误军务必定招来杀身之祸。根据司马迁记录,其中一人说:“今亡亦死,举大计亦死,等死,死国可乎?”于是发动起义。

正如他们预料的那样,两名起义者很快被处死,但是他们的义举很快传遍全国。不出几个月,中国又回到了大一统之前各国混战的状态。公元前206年,秦朝覆灭,叛乱演变成可怖的内战。经历四年的野蛮屠杀之后,农民出身的刘邦掌握了局势,随后建立了汉朝。他将8万名俘虏全部处死,宣告从此天下太平,史称汉高祖(或汉高帝)。[2]

罗马与秦国所面临的问题正好相反。秦国的问题在于高度集权的统治方式无法适应和平年代的发展步伐,而罗马最棘手的问题是组织机构过于松散。在罗马帝国内部,由富有的年长男性成员组成的元老院以及由贫穷市民组成的公民大会得到进一步发展,这对于一个城邦国家的运作来说绰绰有余,但是它们无法胜任对一个帝国的管理,导致战利品堆积如山、成群的奴隶无人处置、国家对那些因战功而极其富有的军事将领疏于防范。公元前133年的秋天,议会成员由于政见不合而发生冲突,元老院的元老们居然砸碎他们坐的长凳,互相拳打脚踢,拼死互殴。到公元前80年左右,再也没有人能够说得清,到底是谁在统治罗马帝国。

尽管罗马在接下来的50年间内战频发,但至少没有像秦朝那样顷刻崩塌。越来越多的军队只效忠于他们各自的军事将领,不再遵从为国尽忠的原则。元老院为了遏制这些战功赫赫的军事领袖,只好派他们攻打更为弱小的邻国(反而使得这些将领实力大增),或者任命新的军事将领来讨伐旧将领(结果又引发了新的危机)。到公元前45年,尤利乌斯·恺撒成功地打败了所有入侵者,次年遇刺身亡。自此,历史的车轮重新开始转动。公元前30年,屋大维在埃及抓捕了安东尼和克丽奥佩特拉(“埃及艳后”),他们最终被迫自杀。此时,罗马帝国的贵族们对于长期征战已经深恶痛绝,于是达成一致意见:私底下,他们将对屋大维(后命名奥古斯都)唯命是从,而在公开场合,他们又假装把他当做普通市民对待。通过这个诡异的协定,似乎所有人都保全了面子。公元前27年,奥古斯都宣布重建共和国,成为这个帝国的实际统治者。