19 疑犯的二叉搜索树(第2/2页)
“对于右子树也是同样的道理。如果当前点的值比我们要找的区间中的最大值还大的话,我们就可以跳过右子树。否则,就需要继续向右子树里面搜索。
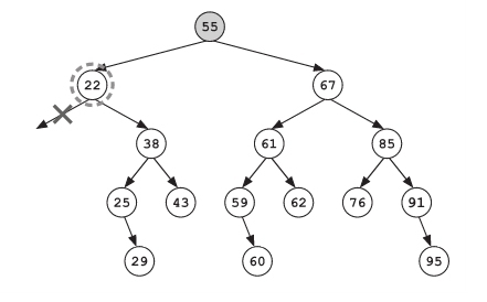
“现在我们要找的区间是50到70。对于这个节点55,由于其左子树中的值最大可能是55,所以其中的点可能会落在我们要找的区间中,所以我们需要去探索左子树。右子树里面的值可能会大于55,这也和我们要找的区间有重叠,所以我们也需要探索右子树。我们先从左子树开始。
“现在的节点上显示的是22天,”Frank继续说道,“我们不需要将它放进结果列表。并且,因为所有在它左子树里面的值都会比22小,因此我们也不需要去检查它的左子树了。”

“我们把这种情况叫作搜索中的剪枝
,”Notation补充道,“因为这就像从一棵树上面砍下了一个分支一样。”
当Frank看向她的时候,她想起来她不应该和Frank说话,便又沉默了。
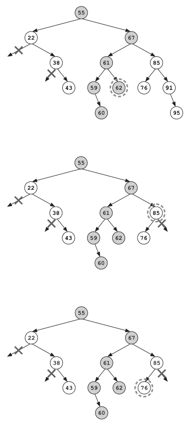
“所以我们只要探索右边的分支就好。”Frank说道。
“递归着探索!”Socks补充道,听起来他简直太欢乐了。
“对,递归着探索,”Frank冷淡地同意道,“现在的节点上是38天。同样的,我们不需要将它加到结果列表中,并且我们也可以跳过它的左子树。”

“但我们需要递归探索它的右子树。”Socks说道。看起来他挺享受这个新的算法。
Frank点了点头。

下一个点没有子节点了。它已经是一条死路了。
“现在呢?”Socks问道。
“和深度优先搜索一样,”Frank说道,“我们倒退,并且选择之前还没有探索过的路线,直到我们将整棵树都搜索过了为止。因为我们一路上剪掉了很多分支,所以我们需要一直倒退到根节点。”
搜索接着在根节点的右子树里开始了。被找到的新记录被加入了结果列表,不合适的分支被一个个剪掉,而合适的分支则被递归地探索着。

最后他们找到了几条符合条件的调职记录。Frank仔细地研究了找到的结果,试图找出任何可疑的地方。
“什么都没有,”他难以置信地低吼了一声,“这里面什么都没有!”
警用算法导论:二叉搜索树Ⅲ
节选自Drecker教授讲义
在二叉搜索树上进行区间查找和查找一个元素类似。算法从最顶端的根节点开始,一路递归着搜索整棵树。它根据以下三个条件来对在每一个节点做决定:
1.当前节点应该被算在结果中吗?如果当前节点在要找的区间内,我们就应该将它加到结果列表中。
2.应该探索左子树吗?如果当前节点有左子树,并且当前节点的值大于区间里最小值,我们就应该递归探索它的左子树。因为这种情况下,它的左子树可能包括区间内的值。
3.应该探索右子树吗?如果当前节点有右子树,并且当前节点的值小于区间里最大值,我们就应该递归探索它的右子树。因为这种情况下,它的右子树可能包括区间内的值。
使用二叉搜索树来做区间搜索的优势在于,可以通过剪去大量不可能包含要找的值的分支来减少计算量。
考虑如下的二叉搜索树:

如果想找在区间[8,20]内的所有值,你只需要访问全部25个节点中的7个(被访问的节点被标上了阴影):

类似的,如果想找在区间[70,80]内的所有值,你只需要访问全部25个节点中的6个:

需要注意的是,访问一个节点不一定代表这个节点会被包括在最终结果列表里。在我们给出的两个例子中,可以看到算法也需要访问一些不在目标范围内的节点。之所以访问它们,是因为那些节点的子树可能包括我们想找的值。
和寻找一个值一样,用二叉搜索树做区间搜索只有在需要进行多次搜索时才高效。建立一棵二叉搜索树比搜索一遍数据需要更大的计算量。但是如果要搜索多次,这个计算量可以被均摊到多次搜索里,从而让每次搜索的平均计算量变小。
1 剪枝,这是一个很形象的说法。在搜索算法优化中,就是通过某种判断,避免一些不必要的遍历过程。简单是说就是不用去遍历每个节点,形象点说就是剪去了搜索树中的某些肯定不需要考虑的“枝条”,故称剪枝。——译者注返回