第二章(第6/21页)
听说在强大的重力场中,时间的流逝会比在弱重力场中缓慢,但如果这个“黑色房间”本身就是黑洞,而他们这些人在完全不知情的状况下进入了这个不可侵犯的领域,这就应该不是单纯的幻想吧?当然,若有第三者在房间外观察其间的差异,那么置身于房间里的曳间他们,就不可能感受到时间有延缓现象!
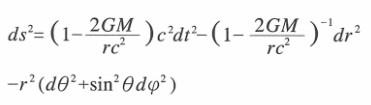
“所谓的黑洞与末日论结合在一起,因为遭到夸张流传,目前好像已成了一般常识,所以我应该没必要在此多费唇舌解说。但为求惯重起见,最好还是简单说明一下。重点在于,当物质被压缩成极高的密度时,因为具有太强的重力,因此任何物质,甚至光线都无法脱离该处。这种能够吞噬一切东西,而且绝对无法从中逃脱的诡异空间,就称为黑洞。这种黑洞理论是在爱因斯坦发表广义相对论之后,史瓦西(史瓦西,Karl Schwarzschild,1873-1916,德国天文学家与物理学家。他在爱因斯坦发表广义相对论之后的一年,也就是一九一六年,在爱因斯坦的方程式中找到第一个黑洞的解。)这位物理学家发现该重力方程式的严密解法,再根据其解法而推测出的结果。事实上,要解开这个重力方程式非常非常困难,与一般所谓二次方程式的解法完全不同。我想,在我们家族成员中,除了根户以外,其他所有人大概无法理解吧!所谓的重力方程式,写成公式的话如下:

对于这种具有10个独立成分的系数gij的联立偏微分方程式属于非线型方程式,因此无法以一般的解法来解。所以,史瓦西以‘在真空中的方程式,时空必须以球对称,而且没有时间上的变化’之特别状况为条件来解题,结果,其严密解法的答案如下:

……算是勉强求出解答,但公式却有点古怪。当然,这种严密的解法,除了史瓦西的解法之外,依给予条件的不同,其他还有德国数学家魏尔解法或纽西兰数学家克尔解法之类的解法,正因为如此,黑洞也有很多种类。呵呵,这好像太专业了!导回正题吧!所谓的神奇黑洞,理论上绝对没问题,但实际上是否存在,通过现代天文学的强大武器电波望眼镜的发达,似乎已经发现疑似黑洞的存在,那是位于天鹅座方向被称为天鹅座X-l星,与质量约为太阳二十倍的蓝色B型超巨星编号HDE226868星形成的联星。总而言之,这组联星由于质量关系,或x光反射的变动状况,属于黑洞应该不会有错。当然,因为连光线都被吸入的黑洞无法目视……因此假设这个黑色房间曾经暂时陷入近似黑洞状态,而真沼不巧踏入了连光线都被吸入的领域,所以我们就再也见不到他了。你们认为该怎么办?”
这是一番长篇大论。但对影山而言,不过是叙述不够深入的皮相解说……然而,当这段讲释告一段落,布濑立刻接着说:“把‘黑色房间’比喻成黑洞,的确是相当有趣的构想,但其中仍有不尽合理的部份。如果根据你的论调,真沼必须在这边的房间消失才对,但实际上他却是在那边的书房不见踪影,而书房并非‘黑色房间’。”
“呵呵,经你这么一说,的确是不可能……恩,那何不反向思考呢?假设被黑洞吞噬的并非真沼,而是我们……”
“哼,比喻来比喻去的应该可以结束了吧!毕竟问题是在现实中发生的。”布濑完全不理会影山的说法,继续接着说:“如果真沼是以这种巧妙的方式消失,那么凶手得以自由进出也不足为奇了。若要检讨最合理的分析,这一切应该是真沼的恶作剧。但问题是,真沼不可能会做出这事来,因为他并非疯狂的推理小说迷。我一向就不喜欢什么一人分饰两角,无头尸,或是这次消失的尸体之类的诡计...但既然已经发生了,发在多牢骚也没有什么意义.”
“等一等.”发言的是影山,他一样抱着厚厚的数值表,嘿嘿笑了起来.“虽然不是黑洞,但是关于凶手的进出,我们可以从现代物理学来解释。”
“哦?怎么说?”
“在理应无法进出的密室中,具有形状和重量的人类确实很容易可以进入。这在我们肉眼无法目视的质子世界里,就不断发生类似的情形。应该被封闭在物质内部的电子,却三三两两溢出表面乃是其中一例。这是由于像质子如此微小的物质,无法同时测定其位置和速度。换句话说,质子的振动是来自只能以概率性记述的‘不确定性原理’。也就是说,质子具有以为它在A点,事实上也存在于B点的不确定性特质。因此,由该质子制造的更大型物质,当然也就具有极端不引人注目的不确定性了。”
“喂、喂!我还以为你要说什么,想不到一样还是比喻话题。这与你刚才叙述的黑洞并没什么不同吧!”
受到布濑的攻击,本以为一定会退缩,想不到影山推高眼镜,羞涩地笑了笑,展开意外的反击。“不,这不是比喻,也非寓言!是有所谓的量子力学能够证明的事实。刚才所说的电子穿透物质表面的现象,称为量子力学的隧道效应。当然,人类想要藉隧道效应穿透墙壁,概率是接近于零,非长渺小,但还是有可能发生。像那个房间的墙壁,若问以我这样的身材,有多少概率可以穿透,以数字表示就是10的一〇而四分之一次方,也就是一后面的〇乘以廿四个一〇,然后以这样的次数去冲撞墙壁,那么就总有一次能够穿透墙壁。这是个非常庞大的数字,若以一般的十进位法来表示,到目前为止,就算把全世界发行的所有书籍里的每一个字都改成〇,仍然无法表示出这个数字。因此,这个数字的位数当然很难适切表现,就算以整个宇宙的电子来充数,这些电子的数量仍是小巫兄大巫……呵呵,从宇宙论的等级来扩大讨论这件事,也算相当有趣吧!一O的一以二四分之一次方这样一个数字,就可以表现出宇宙无法容纳的数字,实在是让我感到有一股战栗的刺激。而且以这样的次数冲撞墙壁,其中只有一次可以穿墙而过,这乃是现代物理学的结论……当然,在如此的冲撞次数中,宇宙有可能因此毁灭。不过,那唯一的一次发生在书房里,我倒不觉得不可思议……因为,根户,这是数学上容许的事情。”